Home
/ Quotient Rule Derivative : The Quotient Rule Problem 3 Calculus Video By Brightstorm - Either the function is basic, in which case we can appeal to the table of derivatives, or the function is composite, in which case we can differentiated it recursively — by breaking it down into the derivatives of its constituents via a series of derivative rules.
Quotient Rule Derivative : The Quotient Rule Problem 3 Calculus Video By Brightstorm - Either the function is basic, in which case we can appeal to the table of derivatives, or the function is composite, in which case we can differentiated it recursively — by breaking it down into the derivatives of its constituents via a series of derivative rules.
Quotient Rule Derivative : The Quotient Rule Problem 3 Calculus Video By Brightstorm - Either the function is basic, in which case we can appeal to the table of derivatives, or the function is composite, in which case we can differentiated it recursively — by breaking it down into the derivatives of its constituents via a series of derivative rules.. Rewrite it as 1 5 (1 x) or as 1 5 1 1 5 x, and then it's. In leibniz's notation, this is written (/) =.the reciprocal rule can be derived either from the quotient rule, or from the combination of power rule and chain rule. When it comes to the calculation of derivatives, there is a rule of thumb out there that goes something like this: Then (apply the product rule in the first part of the numerator.) (factor from inside the brackets.) Given two differentiable functions, the quotient rule can be used to determine the derivative of the ratio of the two functions,.
Y 4 `d/(dx)y^4=4y^3(dy)/(dx)` part b: Given two differentiable functions, the quotient rule can be used to determine the derivative of the ratio of the two functions,. Let's do a couple of examples of the product rule. In practice, once the derivatives of a few simple functions are known, the derivatives of other functions are more easily computed using rules for obtaining derivatives of more complicated functions. May 26, 2020 · the proof of the quotient rule is shown in the proof of various derivative formulas section of the extras chapter.
Calculus 2nd Derivative With Quotient Rule Youtube from i.ytimg.com Click here to return to the list of problems. Let's do a couple of examples of the product rule. The derivative calculator is an online tool that gives the derivative of the function. Math ap®︎/college calculus ab differentiation: Find the derivative with respect to x of 2x 2 y 2. Either the function is basic, in which case we can appeal to the table of derivatives, or the function is composite, in which case we can differentiated it recursively — by breaking it down into the derivatives of its constituents via a series of derivative rules. Use the quotient rule to find the derivative of f. The quotient rule is as follows:
Math ap®︎/college calculus ab differentiation:
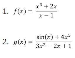
In leibniz's notation, this is written (/) =.the reciprocal rule can be derived either from the quotient rule, or from the combination of power rule and chain rule. Either the function is basic, in which case we can appeal to the table of derivatives, or the function is composite, in which case we can differentiated it recursively — by breaking it down into the derivatives of its constituents via a series of derivative rules. When it comes to the calculation of derivatives, there is a rule of thumb out there that goes something like this: Definition and basic derivative rules the quotient rule. Use the quotient rule to find the derivative of f. This can also be written as. Rewrite it as 1 5 (1 x) or as 1 5 1 1 5 x, and then it's. Find the derivative with respect to x of 2x 2 y 2. Mar 01, 2019 · find the derivative with respect to x of: Then (recall that and.) (factor from the numerator.). Apply the quotient rule first. Math ap®︎/college calculus ab differentiation: Let's do a couple of examples of the product rule.
Then (recall that and.) (factor from the numerator.). When it comes to the calculation of derivatives, there is a rule of thumb out there that goes something like this: Use the quotient rule to find the derivative of f. Mar 01, 2019 · find the derivative with respect to x of: The derivative of a function can, in principle, be computed from the definition by considering the difference quotient, and computing its limit.
Calculus Quotient Rule Wikibooks Open Books For An Open World from wikimedia.org The derivative of a function can, in principle, be computed from the definition by considering the difference quotient, and computing its limit. Use the quotient rule to find the derivative of f. Click here to return to the list of problems. This can also be written as. Let's do a couple of examples of the product rule. Find the derivative with respect to x of 2x 2 y 2. Either the function is basic, in which case we can appeal to the table of derivatives, or the function is composite, in which case we can differentiated it recursively — by breaking it down into the derivatives of its constituents via a series of derivative rules. This looks like a quotient, but since the denominator is a constant, you don't have to use the quotient rule.
Apply the quotient rule first.
Either the function is basic, in which case we can appeal to the table of derivatives, or the function is composite, in which case we can differentiated it recursively — by breaking it down into the derivatives of its constituents via a series of derivative rules. Then (recall that and.) (factor from the numerator.). If we let u = 2x 2 and v = y 2 then we have: In practice, once the derivatives of a few simple functions are known, the derivatives of other functions are more easily computed using rules for obtaining derivatives of more complicated functions. Mar 01, 2019 · find the derivative with respect to x of: In leibniz's notation, this is written (/) =.the reciprocal rule can be derived either from the quotient rule, or from the combination of power rule and chain rule. May 26, 2020 · the proof of the quotient rule is shown in the proof of various derivative formulas section of the extras chapter. When it comes to the calculation of derivatives, there is a rule of thumb out there that goes something like this: Definition and basic derivative rules the quotient rule. Now to find the derivative of 2x 2 y 2 with respect to x we must recognise that it is a product. Let's do a couple of examples of the product rule. The derivative calculator is an online tool that gives the derivative of the function. This looks like a quotient, but since the denominator is a constant, you don't have to use the quotient rule.
Rewrite it as 1 5 (1 x) or as 1 5 1 1 5 x, and then it's. This looks like a quotient, but since the denominator is a constant, you don't have to use the quotient rule. In practice, once the derivatives of a few simple functions are known, the derivatives of other functions are more easily computed using rules for obtaining derivatives of more complicated functions. Then (recall that and.) (factor from the numerator.). The derivative of () = for any (nonvanishing) function f is:
The Quotient Rule Steemit from steemitimages.com Let's do a couple of examples of the product rule. Math ap®︎/college calculus ab differentiation: Definition and basic derivative rules the quotient rule. In practice, once the derivatives of a few simple functions are known, the derivatives of other functions are more easily computed using rules for obtaining derivatives of more complicated functions. This can also be written as. When it comes to the calculation of derivatives, there is a rule of thumb out there that goes something like this: The derivative calculator is an online tool that gives the derivative of the function. Mar 01, 2019 · find the derivative with respect to x of:
The derivative of () = for any (nonvanishing) function f is:
Math ap®︎/college calculus ab differentiation: Now to find the derivative of 2x 2 y 2 with respect to x we must recognise that it is a product. Y 4 `d/(dx)y^4=4y^3(dy)/(dx)` part b: May 26, 2020 · the proof of the quotient rule is shown in the proof of various derivative formulas section of the extras chapter. Use the quotient rule to find the derivative of f. Example 1 differentiate each of the following functions. Let's do a couple of examples of the product rule. Mar 01, 2019 · find the derivative with respect to x of: Then (apply the product rule in the first part of the numerator.) (factor from inside the brackets.) Apply the quotient rule first. Click here to return to the list of problems. Given two differentiable functions, the quotient rule can be used to determine the derivative of the ratio of the two functions,. In practice, once the derivatives of a few simple functions are known, the derivatives of other functions are more easily computed using rules for obtaining derivatives of more complicated functions.